Size: a a a

Physics.Math.Code

2021 June 29

N

Nazim in Physics.Math.Code
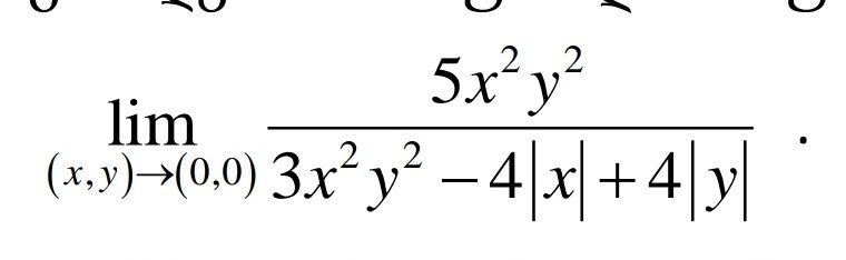
Здравствуйте, можете помочь
источник

N

Nazim in Physics.Math.Code
источник

K

Kelbon in Physics.Math.Code
5/3)))))))
источник

K

Kelbon in Physics.Math.Code
шутка
источник

TP

Tima Plorred in Physics.Math.Code
Так оно идёт в обратную сторону, Динамический закон не предусматривает это
источник

IP

Ivan P in Physics.Math.Code
О_О
источник

K

Kelbon in Physics.Math.Code
вот просто интересно, с точки зрения математики тут же можно отбросить модули и считать, что 4x - 4y == 0
источник

K

Kelbon in Physics.Math.Code
т.к. они стремятся к одному числу
источник

МЗ

Макс Заика in Physics.Math.Code
Почему?
источник

N

Nephilim in Physics.Math.Code
думаю нет это если бы стремилось к бесконечности
источник

K

Kelbon in Physics.Math.Code
потому что стремятся к одному числу и +0, значит равны и их сумма не просто стремится к 0, а именно равна нулю
источник

МЗ

Макс Заика in Physics.Math.Code
Так не с одной стороны и не с одинаковым шагом
источник

K

Kelbon in Physics.Math.Code
и тогда получается вполне себе 5/3
источник

N

Nephilim in Physics.Math.Code
а так если к 0 переменная в квадрате вроде меньше просто переменной
источник

K

Kelbon in Physics.Math.Code
да меньше, но тут 4a - 4a это по правилам математики чистый 0
источник

N

Nephilim in Physics.Math.Code
хотя может да
источник

K

Kelbon in Physics.Math.Code
остается 5b/3b
источник

МЗ

Макс Заика in Physics.Math.Code
Нет
источник

МЗ

Макс Заика in Physics.Math.Code
Это не правильно
источник

K

Kelbon in Physics.Math.Code
так почему?)
источник