Size: a a a

Physics.Math.Code

2021 June 28

S

Saidаmir in Physics.Math.Code
Ок, попробую
источник

С

Саша in Physics.Math.Code
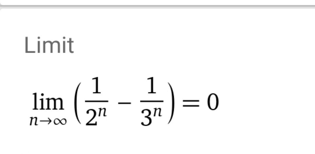
Здравствуйте, я изучаю ряды по математике и столкнулся с этим примером. Можете объяснить как из этого примера получилось 1/2?
источник

С

Саша in Physics.Math.Code
источник

K

Kelbon in Physics.Math.Code
0 - 0 не может быть 1/2
источник

С

Саша in Physics.Math.Code
В том то и дело, что как я не считаю получается 0-0, попробовал онлайн калькулятор и из тех, которые не выдавали ошибку писали 1/2
источник

MM

Mirumid Mirakbarov in Physics.Math.Code
во первых, по картинке непонятно, что это ряд, кажется, что надо найти предел
источник

С

Саша in Physics.Math.Code
Да, тут именно предел
источник

С

Саша in Physics.Math.Code
Я его использую для определения сходимости ряда
источник

АШ

Алексей Шрёдингера... in Physics.Math.Code
Вольфрам говорит ноль
источник

MM

Mirumid Mirakbarov in Physics.Math.Code
а, ну ок, но я бы действовал по другому
можно разбить ряд sum (1/2^n-1/3^n) =sum(1/2^n) - sum (1/3^n)
далее сумма обратных степеней двойки равна 1, а обратных степеней тройки =1/2
1-1/2=1/2
источник

K

Kelbon in Physics.Math.Code
я не понимаю о чем можно тут вообще думать, если тут предел от 1/ бесконечность - 1/бесконеочность
источник

JC

John Cooper in Physics.Math.Code
мда.
источник

JC

John Cooper in Physics.Math.Code
сначала казалось, тут сумма, тут ряд? А вот оно как.
источник

JC

John Cooper in Physics.Math.Code
ээ.. но там нет суммы
источник

MM

Mirumid Mirakbarov in Physics.Math.Code
ну вот, просто видимо вопрос не совсем корректно сформулирован, но по моему он имел ввиду именно это
источник

С

Саша in Physics.Math.Code
Ну у меня дан ряд, который видно на фото, из него найден лимит 1/2. Я использовал всё, что знал, но не понял как так вышло
источник

MM

Mirumid Mirakbarov in Physics.Math.Code
на фото — не ряд
источник

С

Саша in Physics.Math.Code
Я ряд сразу подставил в лимит
источник

С

Саша in Physics.Math.Code
1/2^n - 1/3^n
источник

A

Artem in Physics.Math.Code
вы хотите найти сумму ряда как предел последовательности частичных сумм?
источник