Size: a a a

Physics.Math.Code

2021 June 28

EO

Evgeny OG in Physics.Math.Code
знаю, почему
источник

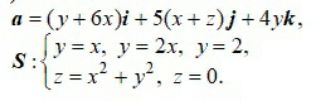
S

ScientificWizard in Physics.Math.Code
Поэтому вывести эту формулу для любого случая просто не имеет смысла.
источник

K

Kelbon in Physics.Math.Code
t/2 с одной скоростью и t/2 с другой скоростью
источник

S

ScientificWizard in Physics.Math.Code
Да. И??
источник

K

Kelbon in Physics.Math.Code
написано непонятно
источник

ДК

Даниил Киселёв... in Physics.Math.Code
Вам ведь уже ответили
Хотите порядок интегрирования измените для простоты
Там всё отлично считается
источник

S

ScientificWizard in Physics.Math.Code
Кому как...
источник

.

. in Physics.Math.Code
🤨
источник

ДК

Даниил Киселёв... in Physics.Math.Code
Ну вы решайте а не смайлики отправляйте
Покажите что сделали
источник

пп

п п in Physics.Math.Code
💋
источник

.

. in Physics.Math.Code
источник

OP

Oleg Pirogov in Physics.Math.Code
Всем привет! Кто-нибудь может  помочь найти поток?
источник

.

. in Physics.Math.Code
источник

.

. in Physics.Math.Code
сложно подсчитать
источник

ДК

Даниил Киселёв... in Physics.Math.Code
Ну это кншн здорово что вы так легко посчитали первообразную от sin(x^3-1) :)
Да только вот не существует элементарной первообразной
источник

ДК

Даниил Киселёв... in Physics.Math.Code
Повторю свою подсказку
Я бы поменял порядок интегрирования
источник

A

Alexander in Physics.Math.Code
и как хотя бы первую из этих первообразных найти?
источник

ET

Egorische The Cupcak... in Physics.Math.Code
Запрещённый прием. 🙃
источник

ES

Elena Sklyar in Physics.Math.Code
Всем привет, подскажите, почему удаляются данные после перезагрузки страницы?

saveMainTitle.addEventListener('click', function(){  
   localStorage.setItem('Главный заголовок', changeTitleTextarea.value);  
   let titleOne = localStorage.getItem('Главный заголовок');  
   mainTitleAdmin.textContent = titleOne;  
   mainTitle.textContent = titleOne;  
});
источник
2021 June 29

I

Impress in Physics.Math.Code
Потому что никуда, кроме локальных переменных, не записываются, а при обновлении страницы их контекст теряется. Могу предположить, что нужно использовать localStorage.

p.s. Вопрос задаете непонятно и очень размыто. Сами подумайте, участники чата, которые понятия не имеют что за задачу вы решаете, поймут в чем дело по маленькому кусочку кода? Вряд ли. Максимум, что можно понять, что у вы с JavaScript что-то пытаетесь сохранить/перезаписать. Такие вопросы лучше задавать сразу со ссылкой на jsfiddle , в котором прописан весь js, html и css код.
источник