Size: a a a

2019 November 02

M

Max in comput.math
Dr. Friedrich von Never
Соре, эта нотация мне незнакома. Но картинка мне всё ещё нравится.
Т.е.это нормально, что 1й вектор выходит из начала координат?
источник

Dv

Dr. Friedrich von Never in comput.math
Max
Т.е.это нормально, что 1й вектор выходит из начала координат?
А откуда ему ещё выходить?
источник

Dv

Dr. Friedrich von Never in comput.math
Я бы понял такую претензию по отношению ко второму вектору. Но про первый мне положительно непонятно.
источник

M

Max in comput.math
Dr. Friedrich von Never
Я бы понял такую претензию по отношению ко второму вектору. Но про первый мне положительно непонятно.
Хорошо, спасибо
источник

IB

Ivan Balanar in comput.math
привет.
источник

ИБ

Илья Балицкий in comput.math
Ivan Balanar
привет.
Какие-то вопросы?
источник

IB

Ivan Balanar in comput.math
Илья Балицкий
Какие-то вопросы?
не сейчас.
источник
2019 November 04

FO

FORTRAN ONE LOVE in comput.math
Всем привет! Чем можно генерировать код на C/Fortran, помимо Maxima, sympy, Maple?
источник

V🇺

Vladislav 🇺🇸🚜🇷🇺 in comput.math
Руками еще можно, кажется
источник

V🇺

Vladislav 🇺🇸🚜🇷🇺 in comput.math
но это не точно
источник

FO

FORTRAN ONE LOVE in comput.math
Vladislav 🇺🇸🚜🇷🇺
Руками еще можно, кажется
уже.. но третьи производные больно брать
источник

V🇺

Vladislav 🇺🇸🚜🇷🇺 in comput.math
Тебе нужно автодифференциирование с кодогенерацией, выходит? Или что-то сложнее?
источник

FO

FORTRAN ONE LOVE in comput.math
Vladislav 🇺🇸🚜🇷🇺
Тебе нужно автодифференциирование с кодогенерацией, выходит? Или что-то сложнее?
именно. больше ничего не нужно. и в выражениях ничего сложнее, гиперболических функций, экспонент, логарифмов и степеней нет
источник

V🇺

Vladislav 🇺🇸🚜🇷🇺 in comput.math
а производную нужно по многим параметрам уметь считать?
источник

FO

FORTRAN ONE LOVE in comput.math
Vladislav 🇺🇸🚜🇷🇺
а производную нужно по многим параметрам уметь считать?
да
источник

V🇺

Vladislav 🇺🇸🚜🇷🇺 in comput.math
По всем? Какого порядка число параметров и число вычисляемых функций?
источник

FO

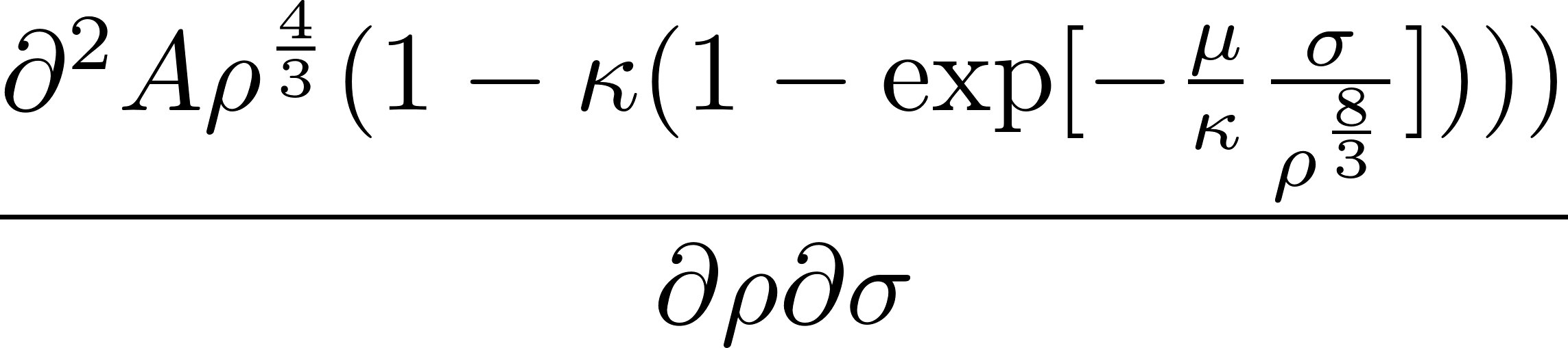
FORTRAN ONE LOVE in comput.math
источник

FO

FORTRAN ONE LOVE in comput.math
Что-то типа такого нужно
источник

V🇺

Vladislav 🇺🇸🚜🇷🇺 in comput.math
А, такое же в forward AD без проблем считается, казалось бы. Зачем тебе codegen?
источник

FO

FORTRAN ONE LOVE in comput.math
это то, что я в состоянии удержать в памяти... а есть намного более сложные функции
источник