Size: a a a

2019 October 18

NM

Námo Morimando in comput.math
Max
Ребят вы знаете название этой формулы/метода?
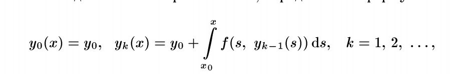
Метод Пикара
источник

M

Max in comput.math
Námo Morimando
Метод Пикара
спасибо большое
источник
2019 October 20

AG

Artemy Gevorkov in comput.math
Иногда мне кажется, что смысл этих чатиков собирать спам и очищать его периодически. Это очень грустно.
источник
2019 October 23

M

Muhammadyusuf in comput.math
!report @admin
источник

M

Muhammadyusuf in comput.math
таких ботов нету что ли
источник

M

Me in comput.math
Подскажете с доказательством правила вывода исчисления высказывания?
источник
2019 October 24

GD

Gleb D in comput.math
Не ясно, какие утверждения вы имеете ввиду.
источник

M

Me in comput.math
Сами правила
источник

M

Me in comput.math
Нужна помощь в доказательстве правила вывода исчисления высказывания, пыталась доказать правило к, конец/середина правильно, но 8 правило применено не совсем правильно, не хватает части выражения, которую я не смогла вывести (слева около вопроса). Помощь нужна в том, какие правила нужно применить чтобы из изначальной получить тот недостающие кусок
источник
2019 October 28

EZ

Evgeniy Zheltonozhskiy🇮🇱 in comput.math
источник

X

Xak in comput.math
вижу, произведение бесконечного числа нулей
источник

X

Xak in comput.math
на выходе у вольфрама 1
источник

V🇺

Vladislav 🇺🇸🚜🇷🇺 in comput.math
спасибо вольфрам, очень полезно
источник

X

Xak in comput.math
хочу, чтобы вольфрам показывал steps, когда доказывает, что интеграл не берётся
источник

X

Xak in comput.math
хотелось бы видеть башню, найденные алгебраические зависимости и полный ход рассуждений
источник

X

Xak in comput.math
возможно, с заменами слишком больших чисел на именованные константы
источник

V🇺

Vladislav 🇺🇸🚜🇷🇺 in comput.math
Xak
вижу, произведение бесконечного числа нулей
почему нулей?
источник

V🇺

Vladislav 🇺🇸🚜🇷🇺 in comput.math
источник

X

Xak in comput.math
а где я обсчитался
источник

X

Xak in comput.math
делай раз
источник