Size: a a a

2019 October 28

X

Xak in comput.math
делай два
источник

X

Xak in comput.math
что бред — вижу, 1 там быть не может
источник

X

Xak in comput.math
это произведение (1-0.5)(1-0.25)(1-0.125)...
источник

X

Xak in comput.math
А так ему норм
источник

FO

FORTRAN ONE LOVE in comput.math
источник

MF

Maxim Filippov in comput.math
Может хотя бы шилди подключите?
источник

EZ

Evgeniy Zheltonozhskiy🇮🇱 in comput.math
Xak
что бред — вижу, 1 там быть не может
)
источник
2019 October 30

AG

Artemy Gevorkov in comput.math
Какие люди...
источник

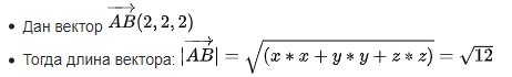
MM

Marat Mkhitaryan in comput.math
источник

MM

Marat Mkhitaryan in comput.math
Как они могут дать мне вектор AB если там только 1 точка 2,2,2? Вектор это же 2 точки
источник

АП

Агент Печенька in comput.math
Artemy Gevorkov
Какие люди...
Привет.
источник

AG

Artemy Gevorkov in comput.math
Marat Mkhitaryan
Как они могут дать мне вектор AB если там только 1 точка 2,2,2? Вектор это же 2 точки
Подразумевается, что первая точка (0, 0, 0), очевидно.
источник

M

Muhammadyusuf in comput.math
Artemy Gevorkov
Подразумевается, что первая точка (0, 0, 0), очевидно.
+
источник

MM

Marat Mkhitaryan in comput.math
Само умножение это внизу? Если было A (2,2,2) B (3,3,3) То надо 2*3 + 2*3 + 2*3 ?
источник

AG

Artemy Gevorkov in comput.math
Чё? Они длину вектора считают, акстись.
источник

DB

Dmitry Baynak in comput.math
Marat Mkhitaryan
Само умножение это внизу? Если было A (2,2,2) B (3,3,3) То надо 2*3 + 2*3 + 2*3 ?
что такое вектор? как можно определить вектор в пространстве? что такое координаты вектора?
источник

DB

Dmitry Baynak in comput.math
если сложно ответить на эти вопросы, сложно будет понять вообще что происходит
источник
2019 October 31

ИБ

Илья Балицкий in comput.math
Marat Mkhitaryan
Как они могут дать мне вектор AB если там только 1 точка 2,2,2? Вектор это же 2 точки
Школьный курс... Вектор AB обозначается одним набором координат потому что там от координаты точки B отняли координату точки А
источник

ИБ

Илья Балицкий in comput.math
источник

ИБ

Илья Балицкий in comput.math
Понятно?
источник