Size: a a a

2021 April 14

ДК

Дед Кастет in comput.math
Нужна консультация по вычислительной геометрии. У меня есть задача, чужой код на python, который я должен досконально понять и исправить. Либо вообще написать свой код с нуля. Для спецов по теме это будет относительно простая задача.

Если здесь есть таковые, то отпишите, я поясню всё, что не понимаю. Просто тут нужна именно консультация + помощь в написании кода. Меня именно подтянуть нужно в этом вопросе
источник

YM

Yury Morozov in comput.math
Не полностью осознал условие (очень путанно функция определена), но, может, гауссовские процессы для интерполяции подойдут? Они как раз хорошо применимы для тяжёлых функций.
источник
2021 April 18

0

0.25 in comput.math
как записать подобные функции в matlab simulink
источник
2021 April 20

P

Pavel in comput.math
Есть гамма распределение со смещением (то есть «начинается не от 0, а от какого-то n).
Методы определения параметров (a, b) несмещённый гамма распределений я знаю (метод моментов и метод макс правдоподобия). А как ещё и смещение определять?
источник

PS

Pavel Savin in comput.math
Тоже ОМП написать, например
источник

PS

Pavel Savin in comput.math
Получится минимум из выборки скорее всего
источник

EZ

Evgenii Zheltonozhsk... in comput.math
Смотря какие параметры, не?
источник

P

Pavel in comput.math
Делаю сейчас так. Думал, есть что-то получше.
источник

PS

Pavel Savin in comput.math
Ну вроде бы нет, там монотонность по смещению будет
источник

PS

Pavel Savin in comput.math
Получше в каком смысле?
источник

EZ

Evgenii Zheltonozhsk... in comput.math
Ну если альфа 1000 то это очень плохая оценка
источник

P

Pavel in comput.math
Ну сейчас смещение я определяю по минимальному из выборки минус eps (потому что 0 в гамма распределении — выколотая точка). Не знаю, насколько это верно.
(Простите за мой не математический язык)
источник

EZ

Evgenii Zheltonozhsk... in comput.math
Типа для альфы -> оо оценка минимум-1 вроде
источник

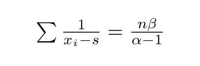
PS

Pavel Savin in comput.math
источник

PS

Pavel Savin in comput.math
Походу либо минимум, либо корень вот того, что выше
источник

EZ

Evgenii Zheltonozhsk... in comput.math
Ну в бесконечности как раз будет то что надо
источник

P

Pavel in comput.math
А что такое s?
источник

PS

Pavel Savin in comput.math
Смещение, которое оцениваем
источник

P

Pavel in comput.math
Извините за глупый вопрос, а n - это реальное смещение, или количество элементов в выборке?
источник

PS

Pavel Savin in comput.math
Количество элементов
источник