Size: a a a

Physics.Math.Code

2021 June 20

Y

YASAV VIII in Physics.Math.Code
Нет примера. Не имею понятия как это решается
источник

Y

YASAV VIII in Physics.Math.Code
Просто помоги, мне правда очень нужно решить это
источник

Э

Элёр in Physics.Math.Code
здравствуйте можете пожалуйста объяснить как понять поместить элементы лежащей во второй половине первого это получается создается два стека  если в 1 стеке 10 элементов то втором я беру из 10 5 элементов и помешаю во второй я правильно понял ?
источник

МЗ

Макс Заика in Physics.Math.Code
источник

МЗ

Макс Заика in Physics.Math.Code
Да
источник

Э

Элёр in Physics.Math.Code
спасибо большое
источник

МЗ

Макс Заика in Physics.Math.Code
Не хочу запугивать, но за такие высказывания можно пойти осмысливать своё поведение на неопределённое время (см. 3 пункт правил)
источник

d

devilhard in Physics.Math.Code
источник

А

Анонимус in Physics.Math.Code
+
источник

А

Анонимус in Physics.Math.Code
Этот чат - не круглосуточная служба по бесплатному решению домашних заданий. Если что-то делаете, и пытаетесь - вам помогут. Если нет - значит нет
источник

A

Artem in Physics.Math.Code
а разве не наоборот, поток через замкнутую поверхность равен сумме потоков через гиперболоид и через правый вход? тогда надо из удвоенного объёма вычесть поток через плоскость
источник

A

Artem in Physics.Math.Code
и все таки поток через замкнутую поверхность положительный или отрицательный? препод говорит, что у меня две ошибки, компенсирующие друг друга, со знаками видимо налажал
источник

A

Artem in Physics.Math.Code
и может налажал как раз из-за того что в тройном интеграле у меня кусок гиперболоида в нижнем пределе
источник

A

Artem in Physics.Math.Code
но геометрически то он снизу фигуру ограничивает, и неважно, что поток в отрицательную сторону ох направлен
источник

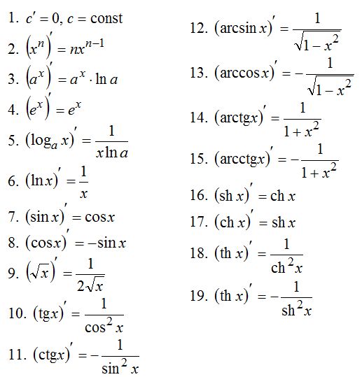
R

Ruvik in Physics.Math.Code
так сложно все это в  derivative calculator написать?
источник

А

Анонимус in Physics.Math.Code
Какой derivative calculator - они все дифференцируются в наполовину устном режиме
источник

R

Ruvik in Physics.Math.Code
ахахахах это и так ясно
источник

R

Ruvik in Physics.Math.Code
разве что не для него
источник

А

Анонимус in Physics.Math.Code
Только вот одного никак не пойму - в чем проблема открыть учебник?
источник

ЛН

Лев Новиков... in Physics.Math.Code
Он его в руках не держал и это для знающих

Предлагаю прекратить этот флуд
источник