Size: a a a

Physics.Math.Code

2021 June 19

VP

Vasilii Pavlov in Physics.Math.Code
😅я прибеднялся, меня воспитывали что надо скромнее быть😅
источник

VP

Vasilii Pavlov in Physics.Math.Code
ладно всем приятного вечера но дела не ждут.✌️
источник

TL

Tony Lutsenko in Physics.Math.Code
Ну раз вы про ток не помните, то, видимо, нужно освежить)
источник

МЗ

Макс Заика in Physics.Math.Code
Решили?
источник

CJ

Carl Johnson in Physics.Math.Code
решил не париться ))))
источник

А

Анонимус in Physics.Math.Code
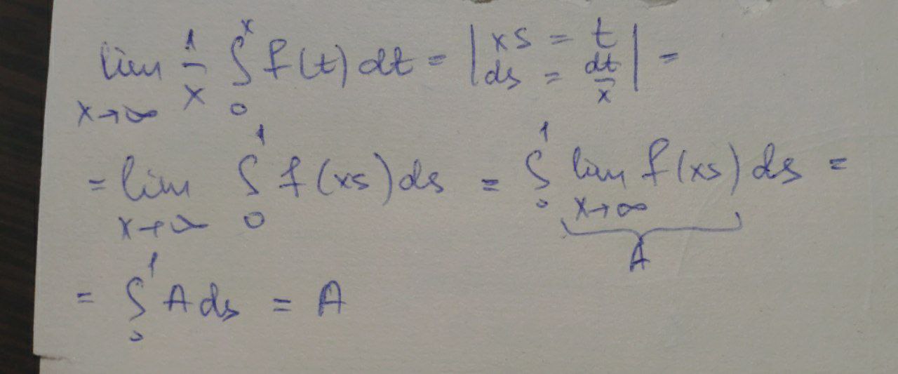
Имхо это вообще довольно простой факт, потому что вот этот интеграл есть не что иное, как эффективная высота кривой, и когда мы неограниченно увеличиваем область интегрирования функции, имеющей горизонтальной асимптотой число А, ее эффективная высота стремится к А.
источник

ПА

Пётр Алексеев... in Physics.Math.Code
+++, я это в классе 7 в первый раз слышал, и второй в 10-ом
источник

ПА

Пётр Алексеев... in Physics.Math.Code
Про универ вообще молчу
источник
2021 June 20

ET

Egorische The Cupcak... in Physics.Math.Code
Я не силен в доказательствах, но вроде из-за непрерывности все честно. :/
источник

К

Коля in Physics.Math.Code
Ребят, здравствуйте. Такой вопрос назрел:
Вот известно, что энергия хранимая в конденсаторе есть:
E = 1/2 * C * U^2

В то же время формула электрической энергии:
E = P * t, где P = I * U

Так же мы знаем, что ёмкость конденсатор (С) есть
C = Q / U
Или, решая для Q, получаем
Q = U * C

А электрической ток (I) есть
I = Q / t
Или
I = U * C / t

Тогда энергия получается
E = P * t = I * U * t = U * C / t * U * t = C * U^2


Теперь вопрос: куда девается 1/2?
источник

К

Коля in Physics.Math.Code
Или почему так считать нельзя?
источник

TL

Tony Lutsenko in Physics.Math.Code
Во-первых, у вас две разных энергии
источник

TL

Tony Lutsenko in Physics.Math.Code
Одна – потенциальная энергия конденсатора, вторая – джоулева теплота
источник

TL

Tony Lutsenko in Physics.Math.Code
Во-вторых, ток – не Q/t, а dQ/dt
источник

К

Коля in Physics.Math.Code
Тем не менее, я не до конца понимаю, почему тогда вся потенциальная энергия не переходит в тепловую.
источник

TL

Tony Lutsenko in Physics.Math.Code
С чего вы взяли?
источник

S

ScientificWizard in Physics.Math.Code
Так у вас это формула для работы тока, у вас через конденсатор течёт ток?
источник

TL

Tony Lutsenko in Physics.Math.Code
Вы сформулировать задачу сначала попробуйте
источник

TL

Tony Lutsenko in Physics.Math.Code
Можно поставить так: к заряжённому конденсатору подключают резистор
источник

К

Коля in Physics.Math.Code
Я думал так:
Вот мы заряжаем конденсатор. У нас есть напряжение U и количество заряда Q перетекло туда за время t. То есть получаем средний ток I = Q/t, нет?
источник