Size: a a a

Physics.Math.Code

2021 June 10

P

Pivo_neskvik in Physics.Math.Code
Это уже мой маразм) Видимо в голове всплывало это обозначение.
источник

JC

John Cooper in Physics.Math.Code
аа...
источник

K

Kopu4ino in Physics.Math.Code
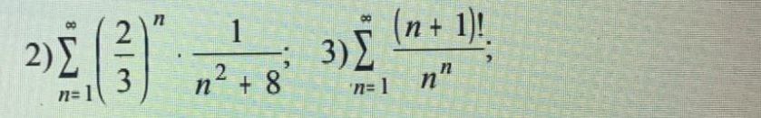
Как можно исследовать на сходимость эти ряды, какими признаками пользоваться?
источник

K

Kopu4ino in Physics.Math.Code
Третий интересует, второй уже сделал через Даламбера
источник

АД

Алексей Дмитриенко... in Physics.Math.Code
Можете расписать чуть подробнее?
источник

A

Alexander in Physics.Math.Code
я бы выбрал троих на расстрел, это C(11, 3) = 165 вариантов, потом для каждого ещё неопаренного живого с наименьшим номером выбрал бы пару, это ещё 7*5*3*1 = 105 вариантов. в произведении получаем 17325.
или можно выбрать первую упорядоченную пару, потом вторую, потом третью, потом четвёртую, это 11*10*...*6*5*4 = 11!/3! вариантов, потом разупорядочил бы людей в парах, поделив на 2^4, да и сами пары, поделив на 4! результат тот же.
источник

A

Alexander in Physics.Math.Code
это не совсем точно. если поворот на пи или кратное ему, то диагонализируема.
иначе не имеем трёх независимых собственных векторов, обязательно имеющихся у диагонализируемой матрицы, так как вещественное собственное значение только одно, и его пространство одномерно.
источник

АД

Алексей Дмитриенко... in Physics.Math.Code
Почему вещественное собственное значение только одно?
источник
2021 June 11

A

Alexander in Physics.Math.Code
ну, если по стирлингу, член будет порядка sqrt(2*pi*n)*(n+1)/exp(n), что достаточно быстро сходится, почти геометрически.
если же попроще, то (n-1)! сверху тривиально оценивается через (n/2)^n, от члена ряда остаётся n*(n+1)/2^n, что тоже быстро сходится, хотя бы по тому же д'Аламберу.
источник

ХЛ

Хитрый Лис in Physics.Math.Code
Ищу книгу по алгоритмам линейной алгебры. Были там, отражения Хаусхолдера, ГраммЩмидт, QR, LU, SVD, row, column order.  Старенькая довольною Не помните, как называется.
источник

A

Alexander in Physics.Math.Code
просто выберите хорошие координаты, запишите матрицу преобразования, найдите характеристический многочлен, и заметьте, что он раскладывается в произведение (t-1) и неприводимого многочлена второй степени.
потом для хар.значения 1 найдите размерность пространства собственных векторов.
источник

A

Alexander in Physics.Math.Code
их тысячи, в нормальных это всё есть. совсем старенькая это Гантмахер, теория матриц.
источник

A

Alexander in Physics.Math.Code
ещё Фаддеев, Фаддеева, Выч. методы лин. алгебры.
ну а если иноземная, то их совсем миллионы.
источник

ХЛ

Хитрый Лис in Physics.Math.Code
Иноземная. Хорошая книжка. От авторов какой-то библиотеки линейной алгебр
источник

ХЛ

Хитрый Лис in Physics.Math.Code
С алгоритмами, кодом.
источник

A

Alexander in Physics.Math.Code
форсайт, моулер. численное решение слау?
источник

Р

Руслан in Physics.Math.Code
а через даламбера не считается?
источник

Р

Руслан in Physics.Math.Code
он же сходится?)
источник

A

Alexander in Physics.Math.Code
у меня посчиталось, после оценки, выше расписал. получится проще - расскажите. оценить придётся что-то вроде (n+1)*n^n/(n+1)^(n+1)
источник

Р

Руслан in Physics.Math.Code
зачем тут что - то оценивать
источник