Size: a a a

Physics.Math.Code

2021 June 10

TL

Tony Lutsenko in Physics.Math.Code
он может прям на месте упасть
источник

TL

Tony Lutsenko in Physics.Math.Code
может в штопор свалиться
источник

ET

Egorische The Cupcak... in Physics.Math.Code
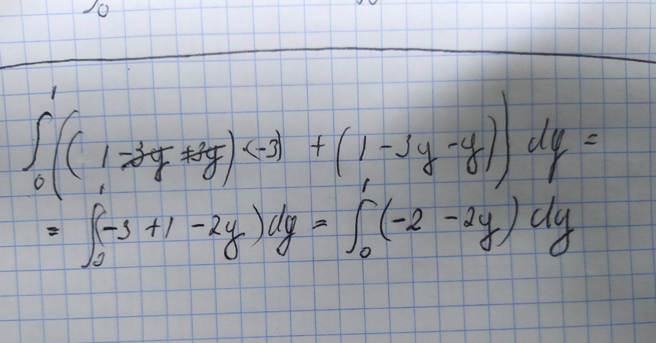
Вы неправильно слагаемые собрали, там при у должно быть -4.
То есть, должна получиться скобка:
-2-4у. Ее нужно проинтегрировать.
источник

J

Jonny in Physics.Math.Code
Но прямая траектория короче изогнутой... (Не обращайте  внимания на функцию)
источник

J

Jonny in Physics.Math.Code
Это то, как примерно должны лететь оба этих самолета
источник

J

Jonny in Physics.Math.Code
По идее
источник

v

valesco in Physics.Math.Code
Я взял интеграл. С этими пределами у меня получилось число 0, но ответ то -4
источник

D

DiagFeMi in Physics.Math.Code
ребзи как понять матан
источник

D

DiagFeMi in Physics.Math.Code
можно сразу шапошникова смотреть?
источник

ET

Egorische The Cupcak... in Physics.Math.Code
Напишите ещё раз этот интеграл.
У вас в скобке два слагаемых, а после знака равенства появилось произведение -2*-2.
источник

v

valesco in Physics.Math.Code
Вот же. Вроде все верно
источник

v

valesco in Physics.Math.Code
Стооп. Я глупый
источник

ET

Egorische The Cupcak... in Physics.Math.Code
Ещё раз говорю, -4у должно быть.
источник

v

valesco in Physics.Math.Code
Я уже понял. Действительно, так ответ -4. Спасибо Вам. Видимо заучился😄
источник

ET

Egorische The Cupcak... in Physics.Math.Code
Ну так, вроде же правда гамму берешь, там интеграл в одну строчку берется, нет?
источник

МК

Максим Коробов... in Physics.Math.Code
Силы на планер условно можно разделить на три: подъемная вверх, сопротивления назад и тяжести вниз. От массы зависит только третья. Дальше сами.
источник

J

Jonny in Physics.Math.Code
Понял. То есть они все-таки прилетят в одну точку?
источник

A

Alexander in Physics.Math.Code
эрланг, он проще. а вот над более теоретическими надо подумать.
источник

Е

Екатерина А. Василье... in Physics.Math.Code
d - это полный дифференциал, круговой интеграл от которого равен 0, т.е. внутренняя энергия и энтропия - это полные дифференциалы, для работы и теплоты это не так, например, работа, совершаемая системой зависит от пути по которому система пройдет из состояния 1 в состояние 2 и даже если система вернётся в исходное состояние 1 в каком нибудь круговом процессе, то этот круговой интеграл не будет равен нулю.
источник

TL

Tony Lutsenko in Physics.Math.Code
С чего вы взяли?
источник