Size: a a a

2019 December 02

M

Max in comput.math
Спасибо большое
источник

X

Xak in comput.math
FORTRAN ONE LOVE
Надеюсь не забанят
Это прекрасно, вместо тысячи слов
источник

X

Xak in comput.math
разрисовал для танкистов
источник

EZ

Evgeniy Zheltonozhskiy🇮🇱 in comput.math
Xak
Это прекрасно, вместо тысячи слов
)
источник

FO

FORTRAN ONE LOVE in comput.math
Xak
Это прекрасно, вместо тысячи слов
Ну самое простое, как можно объяснить
источник
2019 December 05

M

Max in comput.math
источник

M

Max in comput.math
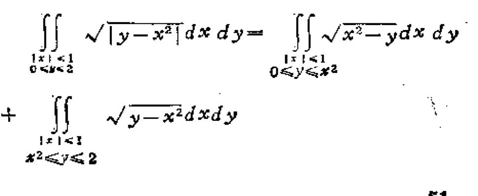
Ребятушки, как такой интеграл разбили на два?
источник

M

Max in comput.math
Подскажите пожалуйста
источник

FO

FORTRAN ONE LOVE in comput.math
модуль раскрыли)
источник

M

Max in comput.math
Да это понятно, почему интегральные пределы поменялись у "y"?
источник

FO

FORTRAN ONE LOVE in comput.math
ракройте модуль и смотрите на условие, когда какой знак получается в выражении
источник

M

Max in comput.math
По идее должно быть 4 интеграл? Нет?
источник

M

Max in comput.math
А не, все понял вроде
источник
2019 December 12

IB

Ivan Balanar in comput.math
session time
источник

V🇺

Vladislav 🇺🇸🚜🇷🇺 in comput.math
источник
2019 December 13

M

Muhammadyusuf in comput.math
источник

M

Mike in comput.math
А есть какие-нибудь js-библиотеки, которые понимали бы математические формулы в какой-нибудь удобной нотации и считали бы их. Некий Mathcad, но на JS?
источник
2019 December 17

M

Max in comput.math
Ребят как расставить пределы интегрирования?
источник

V

Violet in comput.math
К полярным координатам надо перейти
источник

Y

Yioshka in comput.math
Если нам нужно сравнить функции при х->0, то мы просто находим предел их отношения?
источник