Size: a a a

2020 November 11

VA

Victor Alenkov in KotlinLangRu
можно. но я предпочитаю явное неявному
источник

QH

Quantum Harmonizer in KotlinLangRu
Нафиг, нафиг. Labeled expression — только для крайних случаев.
источник

VA

Victor Alenkov in KotlinLangRu
есть какие-то минусы кроме лени писать дополнительные буквы?
источник

QH

Quantum Harmonizer in KotlinLangRu
Victor Alenkov
есть какие-то минусы кроме лени писать дополнительные буквы?
Да, ещё больше лень читать это и пытаться выяснить, из какой именно лямбды возврат
источник

VA

Victor Alenkov in KotlinLangRu
а так типа не надо? скобочки выискивать так же. ладно, это оффтоп и лирика
источник

QH

Quantum Harmonizer in KotlinLangRu
Victor Alenkov
а так типа не надо? скобочки выискивать так же. ладно, это оффтоп и лирика
Скобочки не надо выискивать. Последнее выражение перед } — сразу ясно, какой именно лямбды возврат.
источник

VA

Victor Alenkov in KotlinLangRu
а, ну да. последняя строка без return или с return - после неё ведь разные скобочки. Л - логика
источник

G

German in KotlinLangRu
Quantum Harmonizer
Нафиг, нафиг. Labeled expression — только для крайних случаев.
Поддерживаю. Сбивает с толку в коде. И конкретно для данного кейса принято именно ориентироваться на последнее выражение. По крайней мере на моих проектах на код ревью попросили бы убрать лейбл, потому что и так понятно
источник

A

Alex in KotlinLangRu
ребят привет

подскажите пожалуйста
не понимаю в чем разница между static в Java и  companion object в Kotlin
источник

A

Alex in KotlinLangRu
На первый взгляд ведут они себя одинаково
источник

AB

Anton Branch in KotlinLangRu
Переслано от Oleg Pchelkin
В котлине Object больше про синглтон, чем про статик. Companion object создает внутренний класс Companion, и генерит статический инстанс этого класса Companion на уровне твоего класса.
Для понимания чего там внутри - создай пустой уласс с компаньоном и посмотри декомпайленный байткод и сравни с javaвской реализацией
источник

BP

Bogdan Panchenko in KotlinLangRu
Добавлю от себя что статик в джаве это была необходимый костыль, когда ещё вызов виртуального метода был дороже чем статический
источник

A

Alexander in KotlinLangRu
Ребят привет, а что, genymotion удалили из маркета плагинов?
источник

QH

Quantum Harmonizer in KotlinLangRu
Alexander
Ребят привет, а что, genymotion удалили из маркета плагинов?
А что, он на котлине написан?
источник

A

Alexander in KotlinLangRu
Quantum Harmonizer
А что, он на котлине написан?
Нет, извиняюсь за флуд😟
источник

_

_INGVAR_ in KotlinLangRu
кто может написать эго в котлине я пытаюь а у меня ошибки
источник

DL

D L in KotlinLangRu
_INGVAR_
кто может написать эго в котлине я пытаюь а у меня ошибки
Прв, а где именно
источник

_

_INGVAR_ in KotlinLangRu
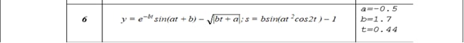
a.pow(-b*t)*asin(a*t+b)- sqrt(abs(b*t+a))
   return v
источник

_

_INGVAR_ in KotlinLangRu
типо так пишу и ошибки
источник

BP

Bogdan Panchenko in KotlinLangRu
_INGVAR_
типо так пишу и ошибки
Какие конкретно. Мы же не телепаты
источник