Size: a a a

2020 October 07

p

polunin.ai in rust_offtopic
Hirrolot
формальный синтаксис логических высказываний описывают
Это не type theory and formal proof
источник

H

Hirrolot in rust_offtopic
polunin.ai
Это не type theory and formal proof
источник

H

Hirrolot in rust_offtopic
собсна зачем они это всё рассказывают если reader и так familiar
источник

H

Hirrolot in rust_offtopic
блять ор
источник

H

Hirrolot in rust_offtopic
источник

H

Hirrolot in rust_offtopic
это в книге Logic and Structure
источник

SP

Stanislav Popov in rust_offtopic
больнуши
источник

H

Hirrolot in rust_offtopic
обдолбались дяди коксом
источник

H

Hirrolot in rust_offtopic
потом книжку по мат логике написали
источник

H

Hirrolot in rust_offtopic
источник

H

Hirrolot in rust_offtopic
мне нравится
источник

SP

Stanislav Popov in rust_offtopic
это вообще реально в каком то состоянии читать все?
источник

SP

Stanislav Popov in rust_offtopic
типа пацаны просто по приколу назвали нечто длинным тире
источник

SP

Stanislav Popov in rust_offtopic
и такой йоу, вот у нас ———————— портом ————————, затем ————————————————————————————————
источник

SP

Stanislav Popov in rust_offtopic
удобно
источник

H

Hirrolot in rust_offtopic
и ещё готических букв добавим
источник

H

Hirrolot in rust_offtopic
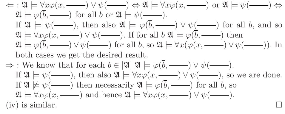
книжку по логике себе нашёл, открыл а там такой пиздец
источник

KR

Kai Ren in rust_offtopic
𝔰𝔱𝔶𝔩𝔦𝔰𝔥
источник

ΑZ

Αλεχ Zhukovsky in rust_offtopic
polunin.ai
Пропозиционная, это ж классическая по идеи?
слушай
источник

ΑZ

Αλεχ Zhukovsky in rust_offtopic
вопрос в акимах же
источник