Size: a a a

Python beginners

2021 December 03

r

rasput in Python beginners
потому что a_n+1 = a_n + d
источник

r

rasput in Python beginners
если решать в лоб, то рекурсия в голову приходит
источник

AC

Alice Carroll in Python beginners
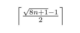
ага, вот из суммы выводится формула
источник

r

rasput in Python beginners
...
источник

r

rasput in Python beginners
хорошо
источник

r

rasput in Python beginners
1 = 1
значит 2 = 2
3 = 3
источник

°

°•✯{Spa¢e✨ in Python beginners
Ubuntu
источник

FP

Finger Print in Python beginners
s = 'asdfasdfasdfдо до лдодлsadf ыдо' 
delimiter = 'до'

splitted_str = s.split(delimiter)[-1:0:-1]
accumulated_str = ''
for string in splitted_str:
   accumulated_str += (string + delimiter)
   print(len(accumulated_str) - 1)
источник

r

rasput in Python beginners
Всё, я, кажись понял, о чём вы говорили
источник

s

sarenis in Python beginners
ты скинь саму ошибку
источник

R

Radical111 in Python beginners
Спасибо ребята я нашел
источник

R

Radical111 in Python beginners
Сделал глобальным сезон и принт вытащил из блока
источник

R

Radical111 in Python beginners
И еще там в cmd месяца нужно с большой буквы писать так как в коде указал с болшой спасибо за внимание всем огромное
источник

С

Слон in Python beginners
Чочу крутить свой код бота для тг в яндух облаке.  (Для теста код со страницы Quick start либы aiogram, если запустить на своей тачке все работает.)  Но не могу понять какую указать точку входа, описание яндуха - "Имя функции, которая будет вызываться в качестве обработчика. Указывается в формате <имя файла с функцией>.<имя обработчика>, например, index.myFunction." Если указать message_handler, и попробовать перейти по ссылке для вызова выдаст {"errorMessage": "There is no handler message_handler in module test", "errorType": "HandlerImportError", "stackTrace": ["  File \"/function/runtime/runtime.py\", line 184, in load_handler\n    raise HandlerImportError('There is no handler {} in module {}'.format(func_name, file_name))\n"]}
источник

Z

Zart in Python beginners
заменил ошибку катастрофой
источник

AC

Alice Carroll in Python beginners
источник

С

Слон in Python beginners
как понять какое имя обработчика указать
источник

AC

Alice Carroll in Python beginners
^
источник

AB

Artöm Bakri Al-Sarmi... in Python beginners
У тебя функция message_handler в файле test?
источник

СВ

Сергей Васильев... in Python beginners
ребят, а прям из пайчарма на гитлаб пушить можно (как на гитхаб)? Плагин может какой то нужно поставить?
источник