Size: a a a

Physics.Math.Code

2021 June 17

IP

Ivan P in Physics.Math.Code
да хороший подходит для новичка
источник

IP

Ivan P in Physics.Math.Code
который хочет учится
источник

МК

Максим Коробов... in Physics.Math.Code
Как определить частоту колебательного контура?
источник

B

BILOLIDDIN in Physics.Math.Code
7) Как измениться частота от 1 к 2 схеме
источник

A

Alexander in Physics.Math.Code
лучше даже t = (x-1)^2
источник

МК

Максим Коробов... in Physics.Math.Code
У вас русский не родной?
Я могу вам помочь понять, но вам придется достаточно много самому читать и думать. Решать за вас и говорить вам ответ тут никто не будет.
источник

B

BILOLIDDIN in Physics.Math.Code
Да я не русский
источник

МК

Максим Коробов... in Physics.Math.Code
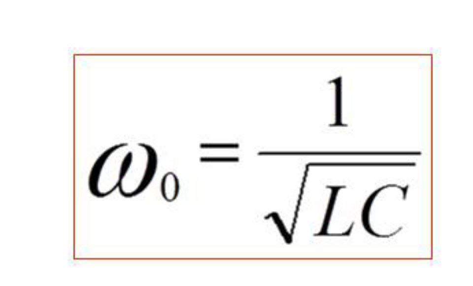
Найдите формулу частоты колебаний колебательного контура.
источник

B

BILOLIDDIN in Physics.Math.Code
источник

IP

Ivan P in Physics.Math.Code
7. D 8. B скорее всего
источник

A

Alexander in Physics.Math.Code
ну где-то поровну могут быть.
источник

A

Alexander in Physics.Math.Code
самое смешное, что вы фактически сами графики построили, пусть в трёх точках.
источник

B

BILOLIDDIN in Physics.Math.Code
Спасибо
источник

IP

Ivan P in Physics.Math.Code
правильно?
источник

МК

Максим Коробов... in Physics.Math.Code
Ну это понятно, но нужно же все аккуратно доказывать.
источник

A

Alexander in Physics.Math.Code
в 109 какой-то странный знаменатель. а в 107 у вас сколько корней?
источник

А

Александр in Physics.Math.Code
Я что-то очень туплю, не могли бы вы подсказать, что от меня Ардуино хочет, почему ошибку выдаёт? Только недавно начал изучать эту тему. Спасибо
источник

D

D.Y. in Physics.Math.Code
Не сочтите за скромность,корней нет. 109ый уже решил там ряд идет,   через дроби
источник

A

Alexander in Physics.Math.Code
ну там встречное убывание-возрастание в областях положительности правой части. это и по графику хорошо видно, и доказывается элементарно.
источник

D

Dina in Physics.Math.Code
Всем привет) кто может подсказать, что с 14 задачкой делать?  Подозреваю, что необходимо воспользоваться эффектом Комптона, но смущает, что нам дан не электрон. А без него как-то туго.
источник