Size: a a a

Physics.Math.Code

2021 June 04

NB

Nikesh Bro in Physics.Math.Code
Всем привет
Номер 3  я решил. мне просто нужно проверить правильно или нет
источник

NB

Nikesh Bro in Physics.Math.Code
источник

NB

Nikesh Bro in Physics.Math.Code
источник

NB

Nikesh Bro in Physics.Math.Code
Скажите мне пж. Тут правильно или нет ? )
источник

ДК

Даниил Киселёв... in Physics.Math.Code
С тем что круг касается стороны.
источник

P

Pivo_neskvik in Physics.Math.Code
Подскажите, пожалуйста, как по-человечески обосновать равенство А_i нулю в 13.48? Это выражение является дифференциалом функции u (некоторой), который записали через дифференциалы только независимых переменных. Хотел было сослаться на линейную независимость, но не уверен, что это будет правильно
источник

D

D@VR0NCH1K in Physics.Math.Code
Проведите внутри окружности треугольник,концами которого будут концы отрезки что проведены у вас на рисунке,дальше видно будет
источник

ГG

Глобгор Globgor... in Physics.Math.Code
Ну у вас для любых приращений равенство должно быть верно. A_i не зависит от приращений
источник

P

Pivo_neskvik in Physics.Math.Code
А,понял, спасибо
источник

AN

Anton Nikolaevich in Physics.Math.Code
Народ, помоги найти ошибку
источник

AN

Anton Nikolaevich in Physics.Math.Code
Полный текст задачи вот:
источник

EG

E G in Physics.Math.Code
Друзья, вы не знаете, каким образом можно спарсить веб-страницу для того, чтобы потом все выгрузить в таблицу? Например, вытащить все даты и записать их в отдельный документ. Потом вытащить названия и записать также в отдельный док

https://all-events.ru/events/calendar/city-is-moskva/
источник

EG

E G in Physics.Math.Code
в доке все данные хранятся под своими классами
источник

KM

Kirill Makarov in Physics.Math.Code
источник

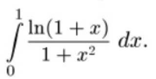
KM

Kirill Makarov in Physics.Math.Code
Ребят, кто-нибудь знает как решать? Не получается((
источник

AN

Anton Nikolaevich in Physics.Math.Code
по частям должно получиться не сложно
источник

CC

Chev Chelios in Physics.Math.Code
А методом подстановки может получиться?
источник

A

Alexander in Physics.Math.Code
чем плохой ответ?
источник

KM

Kirill Makarov in Physics.Math.Code
Пробовал, но не идёт((
источник

ГG

Глобгор Globgor... in Physics.Math.Code
Покажите
источник