Size: a a a

Physics.Math.Code

2021 May 31

CC

Chev Chelios in Physics.Math.Code
Я куб этот не пробовал раскрывать.
источник

BT

Bayram Tagiev in Physics.Math.Code
(3-x)^3=27-27x+9x^2+x^3
источник

ЛН

Лев Новиков... in Physics.Math.Code
Есть подозрение, что исходно (3-x^2)^3
Проверьте условие.
источник

BT

Bayram Tagiev in Physics.Math.Code
Скорее всего, да
источник

VM

Vladimir M. in Physics.Math.Code
источник

BT

Bayram Tagiev in Physics.Math.Code
Да, там у икса квадрат и ответ равен тому, что на скриншоте @rockstar_ww
источник

CC

Chev Chelios in Physics.Math.Code
Ну, видимо, ошибка в условии.
источник

И

Ильер in Physics.Math.Code
Пожалуйста, мне больше спрашивать-то и не у кого.
источник

DS

Double Switch in Physics.Math.Code
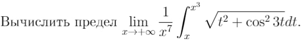
Приветствую, подскажите идею решения, как я понимаю, тут нужно начинать с оценки интеграла? Если есть какой-нибудь ресурс, на котором показан ход или пример, можете подсказать?
источник

ЛН

Лев Новиков... in Physics.Math.Code
Ну да. Мажорируете подкоренное выражение, интеграл берётся, навскидку даже очевидно, что ответ 0

Типа (1+1)*3-7 < 0
источник

DS

Double Switch in Physics.Math.Code
Мажо...что? :D
источник

ЛН

Лев Новиков... in Physics.Math.Code
cos^2(3t) < 1
Метод оценки ограниченных функций, теорема Лебега о мажорируемой сходимости, что угодно

Оно с большиим запасом в ноль улетает
источник

DS

Double Switch in Physics.Math.Code
Понял
источник

DS

Double Switch in Physics.Math.Code
А как это строго доказать всё?
источник

ЛН

Лев Новиков... in Physics.Math.Code
Рассмотрим интеграл больше нашего...
Вычислим его...
Он даёт то, что в итоге даёт ноль
А наш интеграл ещё меньше, но тоже положителен из 1 свойства интеграла Лебега
ЧТД
источник

ЛН

Лев Новиков... in Physics.Math.Code
Вопрос, где такие задачи поставляются в промышленных количествах, чтобы примеры посмотреть, очень хороший.
Мне честно говоря неизвестно, но я вообще матан не шарю практически..
Мб кто-то ещё из старожилов что порекомендует
источник

DS

Double Switch in Physics.Math.Code
А если не был пройден интеграл Лебега?
источник

ЛН

Лев Новиков... in Physics.Math.Code
Ну интеграл Римана, тут это вообще неважно
источник

DS

Double Switch in Physics.Math.Code
А, понял
источник

DS

Double Switch in Physics.Math.Code
Окей, попробую сейчас разобраться, спасибо
источник