Size: a a a

Physics.Math.Code

2021 May 25

A

Artem in Physics.Math.Code
источник

O

Otabek in Physics.Math.Code
Добрый день
источник

A

Artem in Physics.Math.Code
источник

ID

Igor Dovzhenko in Physics.Math.Code
U=x/t
X = ut
Dx = tdu + udt
источник

ID

Igor Dovzhenko in Physics.Math.Code
Вообще не простой че т диффур, в уме не прикидывается ответ
источник

O

Otabek in Physics.Math.Code
Добрый день, можете пж подсказать,
Есть тут хорошие специалисты по электронике и микросхемам?
источник

A

Artem in Physics.Math.Code
о
источник

A

Artem in Physics.Math.Code
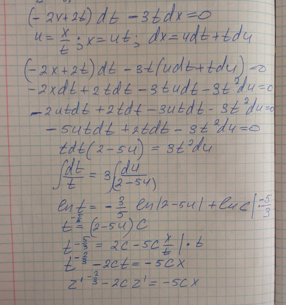
получилось как минимум разделить
источник

A

Artem in Physics.Math.Code
но зато вылезла мерзкая степень -3/5
источник

ET

Ecl Thexx in Physics.Math.Code
Ок, т.е. оно решает уравнение f = 0
А если переменных и уравнений 6-7?
источник

ID

Igor Dovzhenko in Physics.Math.Code
Ну там ещё р обратно выражать в конце
источник

A

Artem in Physics.Math.Code
ну возьми и попробуй
источник

A

Artem in Physics.Math.Code
solve системы уравнений тоже поддерживает
источник

D

Deni in Physics.Math.Code
/stat@combot
источник

A

Artem in Physics.Math.Code
источник

A

Artem in Physics.Math.Code
тоже не разделяется
источник

IS

Ilya Savin in Physics.Math.Code
как ты это представляешь?
источник

КС

Кирикъ Сын Владимиро... in Physics.Math.Code
Не знаю. Быть может этот инструмент с помощью машинного зрения сам распознаёт текст и делает слой текста.
источник

ГG

Глобгор Globgor... in Physics.Math.Code
Мне кажется  Илья уточнял какой функционал вам нужен
источник

p

piter in Physics.Math.Code
/stat@combot
источник