Size: a a a

Physics.Math.Code

2021 May 23

NB

Nikesh Bro in Physics.Math.Code
пересечение
источник

NB

Nikesh Bro in Physics.Math.Code
как
источник

NB

Nikesh Bro in Physics.Math.Code
ответ вот такой ну я не понимаю как
источник
2021 May 24

ЛН

Лев Новиков... in Physics.Math.Code
что такое пересечение. пересечение чего?
источник

ЛН

Лев Новиков... in Physics.Math.Code
Тут с начала надо начинать
источник

IP

Ivan P in Physics.Math.Code
тут его нет
источник

IP

Ivan P in Physics.Math.Code
пересичения нет
источник

NB

Nikesh Bro in Physics.Math.Code
Не понял с начала ?
источник

IP

Ivan P in Physics.Math.Code
ну не с конца же
источник

ЛН

Лев Новиков... in Physics.Math.Code
Простой вопрос - вы говорите надо найти площадь пересечения. Пересечения чего? Улиц?
источник

IP

Ivan P in Physics.Math.Code
Это все условия которые у вас есть?
источник

NB

Nikesh Bro in Physics.Math.Code
ну вот вопрос
источник

ЛН

Лев Новиков... in Physics.Math.Code
Мда. Я уже понял вашу задачу. Я уже знаю решение. Я знаю на что ссылаться. Вопрос к ВАМ.
В условии нет слова "пересечение"
источник

NB

Nikesh Bro in Physics.Math.Code
ага да согл. я толька понял
источник

ЛН

Лев Новиков... in Physics.Math.Code
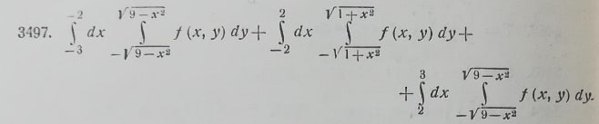
Есть гипербола и окружность, положим что вы их нарисовали сами или в программе. Где область D, которая нам нужна?
источник

NB

Nikesh Bro in Physics.Math.Code
источник

ЛН

Лев Новиков... in Physics.Math.Code
Рисунок уже был сверху, ответ-то на мой вопрос какой?
источник

NB

Nikesh Bro in Physics.Math.Code
Нарисовал сам тоже. у меня вопрос как найти область D
источник

ЛН

Лев Новиков... in Physics.Math.Code
Ну я вот нашёл её на рисунке, нашли ли её вы?
источник

NB

Nikesh Bro in Physics.Math.Code
нет
источник