Size: a a a

2021 July 08

TN

Tonpa Namdak in groupoid.space
источник
2021 July 09

TN

Tonpa Namdak in groupoid.space
источник

TN

Tonpa Namdak in groupoid.space
источник

TN

Tonpa Namdak in groupoid.space
источник
2021 July 10

TN

Tonpa Namdak in groupoid.space
источник

TN

Tonpa Namdak in groupoid.space
источник

TN

Tonpa Namdak in groupoid.space
источник

TN

Tonpa Namdak in groupoid.space
источник

TN

Tonpa Namdak in groupoid.space
источник

TN

Tonpa Namdak in groupoid.space
источник

TN

Tonpa Namdak in groupoid.space
источник

TN

Tonpa Namdak in groupoid.space
источник

TN

Tonpa Namdak in groupoid.space
догнали Агду почти!
источник

TN

Tonpa Namdak in groupoid.space
источник

TN

Tonpa Namdak in groupoid.space
остались только эти уравнения
источник

TN

Tonpa Namdak in groupoid.space
источник
2021 July 11

TN

Tonpa Namdak in groupoid.space
источник
2021 July 12

TN

Tonpa Namdak in groupoid.space
Агдочку подвезли!
источник

TN

Tonpa Namdak in groupoid.space
источник
2021 July 14

TN

Tonpa Namdak in groupoid.space
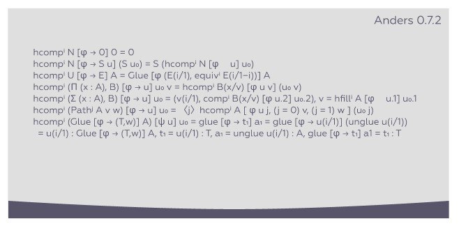
15 JUL 2021 Version 0.7.2 Kan Operations:

* Strict Equality (Id, ref, idJ)
* Cubical Subtypes (Sub, inc, ouc)
* Partials, Systems (Partial, [φ ↦ u])
* Kan Operations (hcomp, transp)
* Eliminate neutral elements (Mini-TT)
* Fast type checking
* Fast compilation
* Initial Base Library (OPAM share folder)
* New options silent and indices
источник