
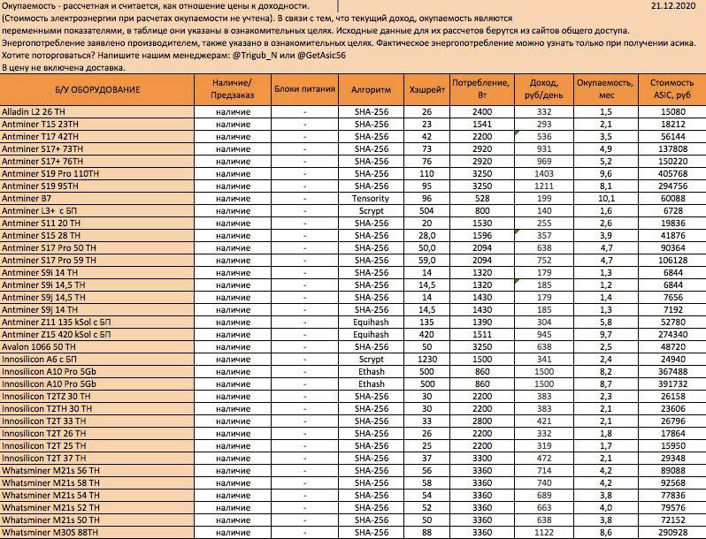
🇨🇳Б/у асики
Aixin A1 22-24 ТН - 8,9тр
Alladin L2 30 TH - 16,3тр
Antminer Т17 42ТН - 46392,5тр
Antminer Т17 40ТН - 45067тр
Antminer L3+ с БП - 6025тр
Antminer S15 28 ТН - 32535тр
Antminer S17 Pro 53 ТН - 92785тр
Antminer S17 Pro 59 ТН - 103630тр
Antminer S9 14 TH - 4,3тр
Antminer S9i 13,5 TH - 3,7тр
Antminer S9i 14,5 TH - 5543тр
Antminer S9j 12 TH - 5,5тр
Antminer Z11 135 kSol с БП - 54,2тр
Avalon 841 с БП - 2,9тр
Avalon 851 с БП - 3тр
Avalon 852 с БП - 3,1тр
Avalon 1066 50 ТН - 50тр
Innosilicon T3 50TH - 54,3тр
Innosilicon T2i 17,2 TH - 4,6тр
🇷🇺Наличие в Москве:
Innosilicon T3 50 TH - 65тр
☝️Б/у майнеры отпускаются от 10 единиц
🤝Возможен предзаказ по предоплате 30%
🚚 Цены указаны без учета доставки
💰Доходность оборудования
🤝Отзывы наших клиентов
🚀Прошивки для разгона
💱Купим Ваши USDT/BTC
📱Напишите нам для расчета стоимости и заказа:
@GetAsic56
@trigub_n
@Manager_GetAsic_bot











