Size: a a a

2020 September 13

KV

Kate Vlasova in Etsy
Любовь
Чат показывает на одной и тойже странице не всем
А почему?
Типа не все достойны? 😂
источник

Л

Любовь in Etsy
Kate Vlasova
А почему?
Типа не все достойны? 😂
Да много раз проверяла с разных айпи одну и туже ссылку у одних есть у других нет и это временное состояние
источник

M

Mike in Etsy
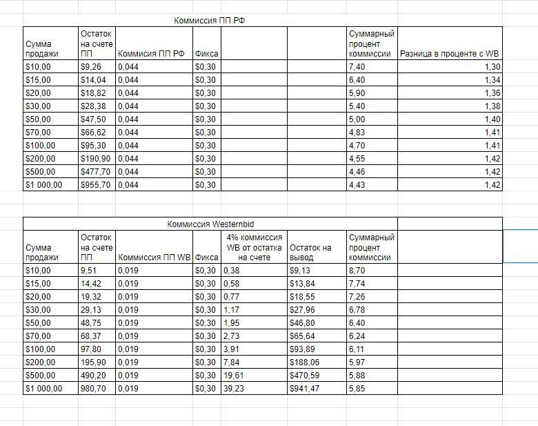
Сравнение комиссии WB и Paypal РФ
источник

SK

Serg Kotikoff in Etsy
Надо считать всю цепочку. От оплаты клиентом до получения на руки нала.
источник

M

Mike in Etsy
Serg Kotikoff
Надо считать всю цепочку. От оплаты клиентом до получения на руки нала.
а это блин что? )))
источник

SK

Serg Kotikoff in Etsy
Это, блин, деньги не у вас в руках.
источник

M

Mike in Etsy
Serg Kotikoff
Это, блин, деньги не у вас в руках.
А что я по вашему пропустил? чего не хватает? давайте добавим
источник

SK

Serg Kotikoff in Etsy
Вы получили деньги на ПП. Выводя на карту вы же меньше получите?
То же самое и с ВБ. Выводя в РФ вы получите разные суммы разными способами вывода.
Иначе не полная картина.
источник

M

Mike in Etsy
Serg Kotikoff
Вы получили деньги на ПП. Выводя на карту вы же меньше получите?
То же самое и с ВБ. Выводя в РФ вы получите разные суммы разными способами вывода.
Иначе не полная картина.
Тут речь о долларах. а вы о рублях. причем тут в таблице рубли?
источник

SK

Serg Kotikoff in Etsy
А какой смысл в долларах но не у вас в руках?
источник

M

Mike in Etsy
Serg Kotikoff
А какой смысл в долларах но не у вас в руках?
каким образом с ВБ на руки в рф человек получает деньги?
источник

SK

Serg Kotikoff in Etsy
То, что комисс выше у ВБ - это и ежу понятно.
Фишки в другом. И для тех, кто работает официально, особенно.
источник

M

Mike in Etsy
Serg Kotikoff
То, что комисс выше у ВБ - это и ежу понятно.
Фишки в другом. И для тех, кто работает официально, особенно.
Еще раз! каких столбцов для расчета не хватает?
источник

SK

Serg Kotikoff in Etsy
Mike
Тут речь о долларах. а вы о рублях. причем тут в таблице рубли?
кстати, ВБ прекрасно и долларами выводит, в отличие от пп
источник

M

Mike in Etsy
Serg Kotikoff
кстати, ВБ прекрасно и долларами выводит, в отличие от пп
Тогда к чему ваш этот тред?
источник

Ю

Юлия Курганова... in Etsy
Serg Kotikoff
кстати, ВБ прекрасно и долларами выводит, в отличие от пп
А разве можно так? Имею ввиду законно ли это?
источник

HT

Hanna Trafimava in Etsy
Mike
Сравнение комиссии WB и Paypal РФ
Вы процент пп у ВБ брали 1,9%? это только для сша
источник

M

Mike in Etsy
Hanna Trafimava
Вы процент пп у ВБ брали 1,9%? это только для сша
НУ я не стал заморачиваться для всего мира. У ВБ минимальная внутренняя коммиссия. Если хотите добавлю в таблицу.
источник

SK

Serg Kotikoff in Etsy
Минимальная внутренняя комиссия у СкладаСША
источник

M

Mike in Etsy
Юлия Курганова
А разве можно так? Имею ввиду законно ли это?
НА счет Пайонир вы можете получить в долларах. А на банковский счет будете выводить в рублях. А если у вас есть карта пайонир (что вряд ли)
источник