Size: a a a

2020 May 10

АС

Александра Скавинска... in comput.math
Всем привет! Разбирается кто-то в Octave, в частности в построении там графиков? Если кто-то может помочь, напишите в личку, пожалуйста. Буду очень признательна.
источник

ツダ

ツィッギー ダイヤ... in comput.math
matplotlib
источник

MK

Matwey Kornilov in comput.math
matplotlib это же из питона
источник

MK

Matwey Kornilov in comput.math
а octave это такой типа matlab опенсорсный
источник

FO

FORTRAN ONE LOVE in comput.math
давайте еще посоветуем R+ggplot2
источник
2020 May 16

в

вишен финиш... in comput.math
привет всем.
не поможете решить задачку: нужно нарисовать график такой функции в scilab:
источник

в

вишен финиш... in comput.math
источник

в

вишен финиш... in comput.math
p1,p2 - константы.
источник

в

вишен финиш... in comput.math
я не допираю как правильно задать функцию.
источник

v

vehlwn in comput.math
вишен финиш
я не допираю как правильно задать функцию.
Никак. Очевидно надо решить разностное уравнение. Вон же начальные условия даны.
источник

v

vehlwn in comput.math
Это же разностное уравнение для последовательности Фибоначчи.
источник

в

вишен финиш... in comput.math
большое спасибо, но я все равно нихуя не понял)
источник

в

вишен финиш... in comput.math
короче если я сам себя не наебал, то получается такая функция
источник

в

вишен финиш... in comput.math
спасибо в общем.
источник

v

vehlwn in comput.math
вишен финиш
большое спасибо, но я все равно нихуя не понял)
Я же дал все слова, которые надо гуглить. http://eqworld.ipmnet.ru/en/solutions/fe/fe1201.pdf
источник

в

вишен финиш... in comput.math
vehlwn
Я же дал все слова, которые надо гуглить. http://eqworld.ipmnet.ru/en/solutions/fe/fe1201.pdf
да по ним и загуглил, спасибо
источник
2020 May 17

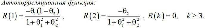
в

вишен финиш... in comput.math
привет
это снова я.
помогите вывести формулу для частных автокорреляциий скользящего среднего 2ого порядка.
я нашел как находится для 1ого порядка, а для 2ого чето затупил.
источник

в

вишен финиш... in comput.math
источник

в

вишен финиш... in comput.math
источник

в

вишен финиш... in comput.math
а, бля, нашел кажется.
источник