Size: a a a

2020 February 08

 P

 ‌‌Gleb Pilipets in comput.math
Я могу написать
F(x) = ax^3/3 + b*sign(x)*x^2/2  + c*x?
источник

EZ

Evgeniy Zheltonozhskiy🇮🇱 in comput.math
 ‌‌Gleb Pilipets
Я могу написать
F(x) = ax^3/3 + b*sign(x)*x^2/2  + c*x?
Можешь но это будет неправильно
источник

 P

 ‌‌Gleb Pilipets in comput.math
Понял, а как правильно тогда?
источник

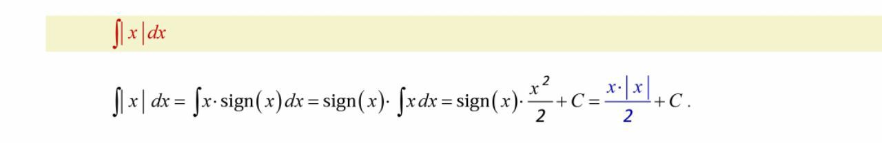
 P

 ‌‌Gleb Pilipets in comput.math
источник

 P

 ‌‌Gleb Pilipets in comput.math
От этого отталкивался
источник

EZ

Evgeniy Zheltonozhskiy🇮🇱 in comput.math
 ‌‌Gleb Pilipets
От этого отталкивался
Ну и как ты получил то что написал?
источник

 P

 ‌‌Gleb Pilipets in comput.math
Разложил интегралл суммы в сумму интегралов. Но видимо, неправильно?
источник

EZ

Evgeniy Zheltonozhskiy🇮🇱 in comput.math
 ‌‌Gleb Pilipets
Разложил интегралл суммы в сумму интегралов. Но видимо, неправильно?
А где у тебя интеграл суммы
источник

 P

 ‌‌Gleb Pilipets in comput.math
Ладно, согласен, что там её нету.
источник

EZ

Evgeniy Zheltonozhskiy🇮🇱 in comput.math
Подсказка: |x| = x * 1(x>0) - x * 1(x<0)
источник

 P

 ‌‌Gleb Pilipets in comput.math
Спасибо, я понял, что нужно разложить на промежутки, где f(x) > 0 и <= 0.
источник

EZ

Evgeniy Zheltonozhskiy🇮🇱 in comput.math
где 1 это индикатор очевидно
источник

 P

 ‌‌Gleb Pilipets in comput.math
А можно ещё один вопрос задать. Нужно посчитать определенный интеграл
integral(|f(x)-g(x)|dx) по промежутку [a,b].

Корректно ли будет, если я поделю этот промежуток на n различных, где эти функции f,g обе непрерывны. Затем посчитаю сумму интеграллов
integral(|f(x)-g(x)|dx) на этих n промежутках?
источник

v

vehlwn in comput.math
 ‌‌Gleb Pilipets
А можно ещё один вопрос задать. Нужно посчитать определенный интеграл
integral(|f(x)-g(x)|dx) по промежутку [a,b].

Корректно ли будет, если я поделю этот промежуток на n различных, где эти функции f,g обе непрерывны. Затем посчитаю сумму интеграллов
integral(|f(x)-g(x)|dx) на этих n промежутках?
При чем тут непрерывность? Тебе же сказали разбивать на промежутки, где подмодульное выражение меньше и больше 0.
источник

 P

 ‌‌Gleb Pilipets in comput.math
Я же второй немного другой вопрос задал. У меня функции кусочно-непрерывные, поэтому сначало хочу разбить на промежутки, на которых они непрерывны. А потом уже модуль раскрывать.
источник

v

vehlwn in comput.math
 ‌‌Gleb Pilipets
Я же второй немного другой вопрос задал. У меня функции кусочно-непрерывные, поэтому сначало хочу разбить на промежутки, на которых они непрерывны. А потом уже модуль раскрывать.
Разбивай и раскрывай.
источник

 P

 ‌‌Gleb Pilipets in comput.math
vehlwn
Разбивай и раскрывай.
Спасибо.
источник
2020 February 09

AT

Alex Tsvetkov in comput.math
Добрый. А как можно быстро посчитать число разбиений числа на различные натуральные слагаемые?

Быстро это программа за секунду должна посчитать число разбиений для 1000
источник

EZ

Evgeniy Zheltonozhskiy🇮🇱 in comput.math
Alex Tsvetkov
Добрый. А как можно быстро посчитать число разбиений числа на различные натуральные слагаемые?

Быстро это программа за секунду должна посчитать число разбиений для 1000
источник

EZ

Evgeniy Zheltonozhskiy🇮🇱 in comput.math
?
источник