Size: a a a

2019 May 12

v

vehlwn in comput.math
обколются своими слайсами...
источник

OL

Oleh Levchenko in comput.math
Да
источник

OL

Oleh Levchenko in comput.math
Xak
(1) множество (set), а не массив (array)?
(2) (если всё же (2)) в матлабе есть операции слайса, тебе точно нужен цикл?
источник

OL

Oleh Levchenko in comput.math
V - это типа выбирает пользователь
источник

X

Xak in comput.math
"Множество или массив?" — "Да".
Феноменально.
источник

OL

Oleh Levchenko in comput.math
", тебе точно нужен цикл?" - Да
источник

OL

Oleh Levchenko in comput.math
Xak
"Множество или массив?" — "Да".
Феноменально.
??
источник

X

Xak in comput.math
я вижу, что массив
источник

X

Xak in comput.math
уже вижу
источник

X

Xak in comput.math
теперь поясни за обозначения свои
источник

OL

Oleh Levchenko in comput.math
Тут сложнее это из методички по лабам...))))
источник

OL

Oleh Levchenko in comput.math
там сам препод не отбяснит
источник

X

Xak in comput.math
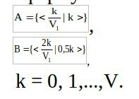
просто скажи, что значит A = { < k / V1 | k > }
источник

OL

Oleh Levchenko in comput.math
на сколько я понял нужно сформировать два различных множетва векторов
источник

ВЛ

Владислав Литвинюк in comput.math
Мат лаб, сейчас, актуальный?
источник

X

Xak in comput.math
матлаб всю жизнь где-то актуальный
источник

OL

Oleh Levchenko in comput.math
источник

OL

Oleh Levchenko in comput.math
Типа такого, но за применение символов не ручаюсь
источник

OL

Oleh Levchenko in comput.math
мне кажется они сами это придумали
источник

OL

Oleh Levchenko in comput.math
руками могу сделать, но нужно матлабом(((
источник