Size: a a a

2019 February 25

X

Xak in comput.math
Vladislav 🇺🇸🚜🇷🇺
ну тут человеку нужен определенный интеграл, так что может и повезти (и повезло, в данном случае)
повезло, потому что нечётное слагаемое уничтожилось
источник

X

Xak in comput.math
@vehlwn ты понял, почему?
источник

X

Xak in comput.math
log((1+x)/(1-x)) — нечётная функция, косинус — чётная, произведение чета на нечет даст нечетную функцию, поэтому это слагаемое при взятии определённого интеграла в симметричных отностельно нуля пределах уничтожится
источник

v

vehlwn in comput.math
стойте. слагаемое с косинусом*логарифм уничтожится и останется только x*логарифм?
источник

V🇺

Vladislav 🇺🇸🚜🇷🇺 in comput.math
vehlwn
стойте. слагаемое с косинусом*логарифм уничтожится и останется только x*логарифм?
когда интегрируешь от -c до c
источник

v

vehlwn in comput.math
тогда все в норме. интеграл x*лограрифм я могу найти аналитически
источник

v

vehlwn in comput.math
или маткад может
источник
2019 February 26

X

Xak in comput.math
проверяй дифференцированием только на всякий случай
источник

X

Xak in comput.math
маткад иногда врёт
источник

X

Xak in comput.math
но в твоём случае вроде обязательно будет элементарный
источник

X

Xak in comput.math
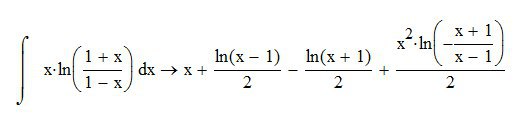
ln((1+x)/(1–x)) === ln(1+x) – ln(1–x)
источник

X

Xak in comput.math
а любое выражение x*f(x), где f(x) имеет элементарную первообразную, тоже имеет элементарную первообразную, которая находится по частям
источник

v

vehlwn in comput.math
как доказать ограниченность этого определителя и найти его екстремальные значения?
источник

v

vehlwn in comput.math
2*cos(x)^2+12.5*sin(x)+8.5*sqrt(3)*cos(x)-2*sin(x)^2
вот символьный вид
источник

v

vehlwn in comput.math
ньютоном слишком просто. я хочу аналитически
источник

v

vehlwn in comput.math
ой в 1 строке 3 столбце должно быть 0.5
источник

EZ

Evgeniy Zheltonozhskiy🇮🇱 in comput.math
vehlwn
как доказать ограниченность этого определителя и найти его екстремальные значения?
ограниченность тривиально вроде
источник

EZ

Evgeniy Zheltonozhskiy🇮🇱 in comput.math
замени синусы-косинусы на 1
источник

v

vehlwn in comput.math
да. сумма ограниченных это ограниченная. как найти экстремум?
источник

EZ

Evgeniy Zheltonozhskiy🇮🇱 in comput.math
vehlwn
да. сумма ограниченных это ограниченная. как найти экстремум?
продифф
источник